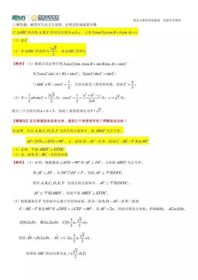
新东方网>郑州新东方学校>中学学习>高中学习>高考试题>正文

郑州新东方高考系列:2016高考理科数学试卷答案及解析!

2019-06-06 16:24

来源:河南高考指南

作者:穆小伟、乔永先

学霸养成工具箱
家庭教育 创意美术 新东方素质教育课程
创客课程 高考干货 考研备考
书法课 出国留学 中考体育

                             

  郑州新东方有话说:

  “考试时间结束,请停止答卷,双手放在桌下,等待监考老师收完试卷后后方可离场……”

高考结束了,此刻的你,是怎样的心情?愿你们合上笔盖的那一刻,有武士将刀收回剑鞘般的骄傲!

  翻看以前上课的照片,依稀记得考试前你们认真备考的辛苦,分别时依依不舍的眼神。祝福每一个人,希望你们实现自己的梦想,活成自己想要的模样。


焦点推荐

版权及免责声明

凡本网注明"稿件来源:新东方"的所有文字、图片和音视频稿件,版权均属新东方教育科技集团(含本网和新东方网) 所有,任何媒体、网站或个人未经本网协议授权不得转载、链接、转贴或以其他任何方式复制、发表。已经本网协议授权的媒体、网站,在下载使用时必须注明"稿件来源:新东方",违者本网将依法追究法律责任。

本网未注明"稿件来源:新东方"的文/图等稿件均为转载稿,本网转载仅基于传递更多信息之目的,并不意味着赞同转载稿的观点或证实其内容的真实性。如其他媒体、网站或个人从本网下载使用,必须保留本网注明的"稿件来源",并自负版权等法律责任。如擅自篡改为"稿件来源:新东方",本网将依法追究法律责任。

如本网转载稿涉及版权等问题,请作者见稿后在两周内速来电与新东方网联系,电话:010-60908555。

免费体验课